楼主: 凌晨

[政府协会通告倡议等] 《食品安全国家标准 食品添加剂 丁香酚》等36项食品安全国家标准和3项修改单的公告

  [复制链接]

3

主题

12

回帖

32

积分

新手上路

积分
32
 楼主| 发表于 2024-2-27 20:10:22 | 显示全部楼层

GB 1886.362-2022 食品安全国家标准 食品添加剂 ε–聚赖氨酸

食品安全国家标准
食品添加剂 ε-聚赖氨酸


1范围
本标准适用于以酵母抽提物或其他含氮物质为主原料经小白链霉菌(Streptomyces albulus)有氧发酵,经分离纯化制得的食品添加剂ε-聚赖氨酸。

2化学名称、分子式、结构式和相对分子质量
2.1化学名称
ε-聚赖氨酸

2.2分子式
H[C6H12N2O]nHO

2.3结构式
2.png
2.4相对分子质量
128.176n + 18.016(按2018年国际相对原子质量)

3技术要求
3.1感官要求
感官要求应符合表1的规定。



............





GB 1886.362-2022《食品安全国家标准 食品添加剂 ε–聚赖氨酸》  全文pdf版: GB 1886.362-2022 食品安全国家标准 食品添加剂 ε–聚赖氨酸.pdf (408.46 KB, 下载次数: 0)
回复

使用道具 举报

3

主题

12

回帖

32

积分

新手上路

积分
32
 楼主| 发表于 2024-2-27 20:28:42 | 显示全部楼层

GB 1886.363-2022 食品安全国家标准 食品添加剂 植物活性炭



食品安全国家标准
食品添加剂 植物活性炭(稻壳来源)
1范围
本标准适用于以稻壳为原料,经炭化、碱溶、酸化等工序制成的食品添加剂植物活性炭(稻壳来源)。

2技术要求
2.1 感官要求
感官要求应符合表1的规定。
1感官要求
项目
要求
检验方法
色泽
黑色
取适量试样置于50 mL烧杯中,在自然光下观察其色泽和状态
状态
粉末
  
  

2.2 理化指标
理化指标应符合表2的规定。
2理化指标
项目
指标
检验方法
pH(50 g/L过滤溶液)  
5.0~9.0
GB/T 12496.7
油脱色率/%             ≥  
70
附录A中A.4
干燥减量w/%           ≤  
符合声称
GB 29215- 2012  中附录B
水溶物(以干基计)w/%    ≤  
4.0
GB 29215-  -2012 中A.6
氰化物(以干基计)  
通过试验
GB/T 12496.14
高级芳香烃(以干基计)  
通过试验
GB 29215- 2012  中A.5
砷(As,以干基计)/(mg/kg)  ≤  
3.0
附录A中A.5
铅(Pb,以干基计)/(mg/kg)  ≤  
10.0
附录A中A.6


附录A
检验方法

A.1 警告
本试验方法中使用的部分试剂具有毒性.腐蚀性及易燃性.操作者须小心谨慎!如溅到皮肤上应立即用水冲洗,严重者应立即治疗。使用易燃品时,严禁使用明火加热。

A.2一般规定
本标准所用试剂和水,在没有注明其他要求时,均指分析纯试剂和GB/T6682中规定的三级水。试验中所用标准滴定溶液、杂质测定用标准溶液、制剂及制品,在没有注明其他要求时,均按GB/T601、GB/T602、GB/T603之规定制备。试验中所用溶液在未注明用何种溶剂配制时,均指水溶液。

A.3鉴别试验
A.3.1 试剂和材料
A.3.1.1油样:由 精炼油厂中和工段得到的中和大豆油,于520 nm波长下,用1 cm比色皿测定吸光度为0.2~0.4。
A.3.1.2中速定性滤纸。
A.3.2仪器和设备
恒温磁力搅拌器:配有接触式温度传感器,温度量程为0 ℃~150 ℃。
A.3.3 鉴别步骤
称取50.0g士0.1 g油样和1.00g士0.01 g试样,置于200 ml.烧杯中,置于已预热的恒温磁力搅拌器上,将接触式温度传感器插人油样测量油温,边加热边搅拌。保持接触式温度传感器始终浸没在油样中,当温度升至105℃~110℃,保温10min。取下烧杯立即趁热用中速定性滤纸过滤油样,收集滤液于25 ml比色管中至刻度,与参比溶液比对,其颜色不得深于参比溶液。
参比溶液:用移液管移取脱色前的油样置于25 ml比色管中至刻度。

A.4油脱色率的测定
A.4.1方法提要 .
取一定质量的中和大豆油,加人一定质量的试样进行脱色,测得脱色后油的吸光度。根据吸光度的减少值计算脱色率,以百分数表示。
A.4.2试剂和材料
A.4.2.1油样: 由精炼油厂中和工段得到的中和大豆油,于520nm波长下,用1 cm比色m测定吸光度为0.2~0.4。
A.4.2.2中速定性滤纸。
A.4.3仪器和设备
A.4.3.1分光光度计:配有1 cm比色皿。
A.4.3.2恒温磁力搅拌器:配有接触式温度传感器,温度量程为0 ℃~150 ℃。
A.4.4分析步骤
称取150.00g士0.01g油样,置于500ml烧杯中,置于已预热的恒温磁力搅拌器上,将接触式温度传感器插人油样测量油温,边加热边搅拌。当油温升至60℃时缓慢加人3.00g士0.01g试样,搅拌强度以整个油样呈旋涡状运动为宜(设置恒温磁力搅拌器转数为350r/min),保持试样和接触式温度传感器完全浸没在油样中。当油温升至105 ℃~110 ℃时,保温30 min。取下烧杯立即趁热用中速定性滤纸过滤油样,用100 ml量简承接油样,弃去最初的60 ml脱色油样,之后收集脱色油样于干燥的烧杯中。在分光光度计上,于520nm波长处,用1cm比色皿,以水调零,测量过滤得到的脱色油样的吸光度。同时同样测定未脱色的油样的吸光度。
A.4.5结果计算
油脱色率X:按式(A.1)计算。

...........


GB 1886.363-2022《食品安全国家标准 食品添加剂 植物活性炭(稻壳活性炭)》   全文pdf版: GB 1886.363-2022 食品安全国家标准 食品添加剂 植物活性炭(稻壳活性炭).pdf (290.48 KB, 下载次数: 0)
回复

使用道具 举报

3

主题

12

回帖

32

积分

新手上路

积分
32
 楼主| 发表于 2024-2-27 20:39:16 | 显示全部楼层

GB 1886.364-2022 食品安全国家标准 食品添加剂 越橘红

食品安全国家标准
食品添加剂越 橘红


1范围
本标准适用于以杜鹃花科( Ericaceae)越桔属(Vaccinium )越桔(又名越橘,Vaccini um vitis-idaea Linn.)的果实为原料经水和(或)食用乙醇提取后,经净化/精制、浓缩、干燥制成的食品添加剂越橘红。

2化学名称、分子式 、结构式和相对分子质量
2.1 化学名称和分子式(主要成分)   
矢车菊素葡萄糖苷:C21H21O11
矢车菊素阿拉伯糖苷:C20H19O10
矢车菊素半乳糖苷:C21 H21O11

2.2 结构式(主要成分)



...........


GB 1886.364-2022《食品安全国家标准 食品添加剂 越橘红》  全文pdf版: GB 1886.364-2022 食品安全国家标准 食品添加剂 越橘红.pdf (314.95 KB, 下载次数: 0)
回复

使用道具 举报

2

主题

14

回帖

28

积分

新手上路

积分
28
发表于 2024-2-28 21:26:21 | 显示全部楼层

食品安全国家标准 食品营养强化剂 二十二碳六烯酸油脂(金枪鱼油

本帖最后由 医智宝 于 2024-2-29 08:27 编辑

食品安全国家标准
食品营养强化剂  二十二碳六烯酸油脂(金枪鱼油)
1范围
本标准适用于以金枪鱼为原料,经加热.分离.精制.提纯等工艺制成的食品营养强化剂二十二碳六烯酸油脂(金枪鱼油)。

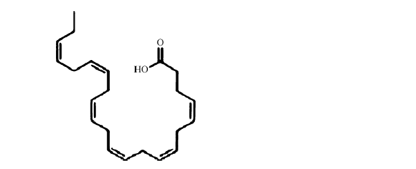
2二十二碳六烯酸(DHA)的分子式,结构式和相对分子质量
2.1分子式
C22H32O2
2.2结构式
2.3相对分子质量
328.5(按2018年国际相对原子质量)
2.png
3技术要求
3.1感官要求
感官要求应符合表1的规定。
1感官要
项目
要求
检验方法
色泽
淡黄色至橙黄色
取适量试样置于清洁、干燥的烧杯中,在自然光线下,观察其色泽和状态,并嗅其味
状态
油状液体
气味
微鱼腥味


2.2 理化指标
理化指标应符合表2的规定。
2理化指标
  项目  
指标
检验方法
DHA含量(以C22H32O2甘油三酯计),w/%   ≥  
20.0
GB 5009.168
DHA含量与二十碳五烯酸(EPA)含量的比值≥
3
附录A中A.2
  水分,w/%                                    ≤  
3.0
GB 5009.3减压干燥法
不皂化物,w/%                               ≤
4.0
GB/T 5535.1
酸价(以KOH计)/(mg/g)                    ≤
1.0
GB 5009.229
过氧化值/(mmol/kg)                      ≤  
2.5
GB 5009.227滴定法
铅( Pb)/( mg/kg)                            ≤
0.1
GB5009.75石墨炉原子吸收光谱法
总砷(以As计)/( mg/kg)                    ≤
0.1
GB5009.76氢化物原子荧光光度法
总汞(以Hg计)/(mg/kg)                     ≤
0.1
GB 5009. 17
:商品化的二十二碳六烯酸油脂(金枪鱼油)产品应以符合本标准的二十二碳六烯酸油脂(金枪鱼油)为原料,可添加工艺所必需的食品原料和/或食品添加剂作为辅料,其质量、范围和使用量应符合相应的食品安全国家标准。



附录A
检验方法

A.1 一般规定
本标准除另有规定外,所用试剂的纯度应为分析纯,所用标准滴定溶液、杂质测定用标准溶液、制剂及制品,应按GB/T 601、GB/T 602、GB/T 603的规定制备,试验用水应符合GB/T6682中三级水的规定。试验中所用溶液在未注明用何种溶剂配制时,均指水溶液。

A.2 DHA含量与EPA含量的比值的测定
A.2.1分析步骤
按照GB 5009.168规定的方法测定DHA含量和EPA含量。

A.2.2结果计算
DHA含量与EPA含量的比值X1按式(A.1)计算。
       X1=W1/ W2……………………………………..(A.1)
       式中:
      W1——DHA含量(以C22H32O2甘油三酯计),%;
      w2——EPA含量(以C22H32O2甘油三酯计),%。
      试验结果以平行测定结果的算术平均值为准。
回复

使用道具 举报

2

主题

14

回帖

28

积分

新手上路

积分
28
发表于 2024-2-29 08:40:21 | 显示全部楼层

GB 1903.27-2022 食品安全国家标准 食品营养强化剂 低聚半乳糖

食品安全国家标准
食品营养强化剂 低聚半乳糖

1范围
本标准适用于以乳糖为原料,经芽孢杆菌ATCC 31382 ( Bacillus sp.) 或米曲霉(Aspergillusoryzae)生产的β半乳糖苷酶催化水解半乳糖苷键,将乳糖水解成为半乳糖和葡萄糖,同时通过转移半乳糖苷的作用,将水解下来的半乳糖苷转移到乳糖分子,生成的食品营养强化剂低聚半乳糖。

2结构式、分子式和相对分子质量
2.1结构式
2.png
2.2分子式
(C6H11O5)·n为2~8

2.3相对分子质量
300~2 000(按2018年国际相对原子质量)

3产品分类
3.1低聚半乳糖粉

低聚半乳糖液的直接干燥产品。

3.2低聚半乳糖液
低聚半乳糖的液体产品。

4技术要求
4.1感官要求
感官要求应符合表1的规定。

..............................



GB 1903.27-2022《食品安全国家标准 食品营养强化剂  低聚半乳糖》  全文PDF版: GB 1903.27-2022 食品安全国家标准 食品营养强化剂 低聚半乳糖.pdf (1.29 MB, 下载次数: 0)
回复

使用道具 举报

2

主题

14

回帖

28

积分

新手上路

积分
28
发表于 2024-2-29 09:10:08 | 显示全部楼层

GB 1903.30-2022 食品安全国家标准 食品营养强化剂 多聚果糖

食品安全国家标准
食品营养强化剂 多聚果糖


1范围
本标准适用于以菊苣或菊芋根为原料、采用酸/碱处理或其他方式去除杂质,使用干燥等工艺制得的食品营养强化剂多聚果糖。

2分子式和结构式
2.1分子式
(C6—H12—O6)—(C6—H10—O5)n-2—(C6—H10—O5)(n=5~60)

2.2结构式
多聚果糖是果糖单元通过B-2,1-键联接而成并以葡萄糖单元终止的单元总数为5~60的碳水化合物。
2.png
3技术要求
3.1感官要求
感官要求应符合表1的规定。
1感官要求
项目  
要求
检验方法
色泽  
白色或微黄色
取适量实验室样品,置于清洁、干燥的白瓷盘或烧杯中,在自然  光线下,目视观察其色泽和状态,嗅其气味
状态
无定型粉末
气味
无异味
杂质
无正常视力可见外来杂质





3.2 理化指标
理化指标应符合表2的规定。
2理化指标
项目
指标
检验方法
pH(10%溶液)
4.5~7.0
GB/T 20885
水分,w/%≤
5
GB 5009.3直接干燥法a
灰分(以干基计).w/%              ≤
0.2
GB 5009.4
多聚果糖(≥DP5) ,w/ %           ≥
94.5
附录A中A.6
平均聚合度(DP)                     ≥
23
附录A中A.6
葡萄糖十果糖十蔗糖,w/%       ≤
0.5
附录A中A.6
铅(Pb) /(mg/kg)                    ≤
0.15
GB 5009.12或GB 5009.75
总砷(以As计) /(mg/kg)           ≤
0.5
GB 5009.11或GB 5009.76
  a干燥温度为103 ℃士2 ℃,至恒重。


3.3微生物限量
微生物限量应符合表3的规定。
3微生物限量
项目
指标
检验方法
霉菌/(CFU/g)          <
20
GB 4789.15
酵母菌/(CFU/g)       <
20
GB 4789.15
大肠菌群/(CFU/g)    ≤
10
GB 4789.3
金黄色葡萄球菌
0/25 g
GB 4789.10
沙门氏菌
0/25 g
GB 4789.4

.........................


GB 1903.30-2022《食品安全国家标准 食品营养强化剂 多聚果糖》  全文PDF版:[attach]3291[/attac

GB 1903.30-2022 食品安全国家标准 食品营养强化剂 多聚果糖.pdf

568.29 KB, 下载次数: 0, 下载积分: 威望 -1 , 金钱 -1 , 贡献 -1

回复

使用道具 举报

2

主题

14

回帖

28

积分

新手上路

积分
28
发表于 2024-2-29 09:20:01 | 显示全部楼层

食品安全国家标准 食品营养强化剂 5'-单磷酸胞苷(5'-CMP)


GB 1903.33-2022《食品安全国家标准 食品营养强化剂 5'-单磷酸胞苷(5'-CMP)》PDF版: 食品安全国家标准 食品营养强化剂 5’-单磷酸胞苷.pdf (578.69 KB, 下载次数: 0)
回复

使用道具 举报

2

主题

14

回帖

28

积分

新手上路

积分
28
发表于 2024-2-29 09:39:54 | 显示全部楼层

GB 1903.40-2022 食品安全国家标准 食品营养强化剂 低聚果糖

食品安全国家标准
食品营养强化剂 低聚果糖



1范围
本标准适用于食品营养强化剂低聚果糖。食品营养强化剂低聚果糖是以菊苣(或菊芋)为原料,经部分酶水解或膜分离、提纯、干燥等工艺制得的蔗果三糖(GF2)至蔗果八糖(GF7)以及果果二糖(F2)至果果八糖(F8)的混合物,或以蔗糖为原料经来源于黑曲霉或米曲霉的β果糖基转移酶作用,经提纯、干燥等工艺制得的蔗果三糖(GF2)至蔗果六糖(GF5)的混合物。

2结构式
按结构分为蔗-果型(GFn)低聚果糖和果-果型(Fn)低聚果糖,分子结构示意图分别见图1和图2。
2.png
1-果型(GFn)低聚果糖分子结构示意图   2-果型(Fn)低聚果糖分子结构示意图

3技术要求
3.1感官要求
感官要求应符合表1的规
项目  
要求
检验方法
色泽
白色至微黄色
取适量试样置于清洁、干燥的白瓷盘中,在自然光线下观察其色泽和状态,嗅其气味
状态
粉末
气味
具有本品特有气味、无异味
杂质
无正常视力可见的外来杂质



GB 1903.40-2022《食品安全国家标准 食品营养强化剂 低聚果糖》  全文PDF版: GB 1903.40-2022 食品安全国家标准 食品营养强化剂 低聚果糖.pdf (184.83 KB, 下载次数: 0)
回复

使用道具 举报

2

主题

14

回帖

28

积分

新手上路

积分
28
发表于 2024-2-29 11:55:38 | 显示全部楼层

GB 1903.55-2022 食品安全国家标准 食品营养强化剂 L-抗坏血酸钾

食品安全国家标准
食品营养强化剂L-抗坏血酸钾

1范围
本标准适用于以L抗坏血酸和碳酸氢钾或碳酸钾为原料,经化学反应、结晶、干燥等工艺制得的食品营养强化剂L抗坏血酸钾

2 分子式、 结构式和相对分子质量
2.1 分子式
C6H7KO5

2.2构式
2.png
2.3 相对分子质量
214.22(按2018年国际相对原子质量)

3技术要求
3.1感官要求
感官要求应符合表1的规
1感官要求
项目  
要求
检验方法
色泽
白色至微黄色
取适量样品置于清洁、干燥的白瓷盘中,在自
  
然光线下观察其色泽、状态
状态  
晶体或结晶性粉体

3.2 理化指标
理化指标应符合表2的规定。
2理化指标
项目
指标
检验方法
L-抗坏血酸钾含量(以干基计),w/ %
99.0~101.0
附录A中A.3
pH(10%水溶液)
7.0~8.0
GB/T 9724
比旋光度(以干基计),am(20℃,D)/[(°)·m2·kg-1]
+93~+ 103
附录A中A.4
干燥减量,w/% ≤
0.25
GB 5009.3直接干燥法
铅( Pb)/( mg/kg)≤
2.0
GB 5009.12或GB 5009.75
总砷(以As计)/(mg/kg) ≤
3.0
GB 5009.11或GB 5009.76

..........................


GB 1903.55-2022《食品安全国家标准 食品营养强化剂 L-抗坏血酸钾》  全文PDF版: GB 1903.55-2022 食品安全国家标准 食品营养强化剂 L-抗坏血酸钾.pdf (325.65 KB, 下载次数: 0)

回复

使用道具 举报

2

主题

14

回帖

28

积分

新手上路

积分
28
发表于 2024-2-29 12:15:00 | 显示全部楼层

GB 1903.56-2022 食品安全国家标准 食品营养强化剂 硒酸钠

食品安全国家标准
食品营养强化剂 硒酸钠

1范围
本标准适用于以亚硒酸、氢氧化钠制得亚硒酸钠,再用过氧化氢将亚硒酸钠氧化得到的食品营养强化剂硒酸钠。

2 分子式、结构式和相对分子质量
2.1化学名称
硒酸钠
2.2分子式
Na2SeO4
2.3结构式
2.png
2.4 相对分子质量
188.94(按2018年国际相对原子质量)

3技术要求
3.1感官要求
感官要求应符合表1的规
1感官要求
项目
要求
检验方法
色泽
白色或无色
取适量样品置于清洁、干燥的白瓷盘中,在自
  
然光线下观察其色泽、状态
状态
结晶性粉体

3.2 理化指标
理化指标应符合表2的规定。
2理化指标
项目
指标
检验方法
硒酸钠含量(以干基计),w/ %       ≥
99.0
附录A中A.4
亚硒酸钠含量(以干基计) ,w/ %    ≤
0.1
附录A中A.4
干燥减量,w/%                  ≤
0.5
GB 5009.3直接干燥法a
铅(Pb)/( mg/kg)                  ≤
1.0
附录A中A.5
总砷(以As计)/(mg/ kg)          ≤
5.0
附录A中A.5
镉(Cd)/( mg/kg)                  ≤
1.0
附录A中A.5
总汞(以Hg计)/(mg/kg)          ≤
1.0
附录A中A.5
a称样量为10g。


............................



GB 1903.56-2022《食品安全国家标准 食品营养强化剂 硒酸钠》  全文PDF版: GB 1903.56-2022 食品安全国家标准 食品营养强化剂 硒酸钠.pdf (455.97 KB, 下载次数: 0)
回复

使用道具 举报

您需要登录后才可以回帖 登录 | 中文注册

本版积分规则

本站信息仅供参考,不能作为诊断医疗依据,所提供文字图片视频等信息旨在参考交流,如有转载引用涉及到侵犯知识产权等问题,请第一时间联系我们处理

在线客服|关于我们|移动客户端 | 手机版|电子书籍下载|中医启疾光网 ( 鄂ICP备20008850号 )

Powered by Discuz! X3.5© 2001-2025 Discuz! Team. zyqjg.com

版权

快速回复 返回顶部 返回列表