查看: 392|回复: 2

[国内中医药传承] 食品安全地方标准 栀子花

[复制链接]

4

主题

4

回帖

46

积分

实习版主

积分
46
发表于 2026-2-7 21:15:27 | 显示全部楼层 |阅读模式
湖南省卫生健康委员会、福建省卫生健康委员会公告(2025年3号)
联合发布《湖南省、福建省区域性食品安全地方标准 栀子花》

       根据《中华人民共和国食品安全法》《等同采纳或认可、联合制定区域性食品安全地方标准工作指南(试行)》规定,经湖南省食品安全标准专家委员会、福建省食品安全地方标准审评委员会审查通过,现由湖南省卫生健康委员会、福建省卫生健康委员会联合发布《湖南省、福建省区域性食品安全地方标准 栀子花》(DBS43/019-2025 DBS35/011-2025)。
       附件: DBS43/019-2025 DBS35/011-2025湖南省、福建省区域性食品安全地方标准 栀子花
                                            湖南省卫生健康委员会  福建省卫生健康委员会
                                                         2025年12月10日


1.png


食品安全地方标准 栀子花

1 范围
本文件规定了栀子花的技术要求及相应的检验方法。
本文件适用于栀子花鲜品和栀子花干品。

2 规范性引用文件
下列文件中的内容通过文中的规范性引用而构成本文件必不可少的条款。其中,注日期的引用文件,
仅该日期对应的版本适用于本文件;不注日期的引用文件,其最新版本(包括所有的修改单)适用于本
文件。
GB 2763 食品安全国家标准 食品中农药最大残留限量
GB 5009.3 食品安全国家标准 食品中水分的测定
GB 5009.4 食品安全国家标准 食品中灰分的测定
GB 5009.12 食品安全国家标准 食品中铅的测定
GB 5009.15 食品安全国家标准 食品中镉的测定
GB/T 6682 分析实验室用水规格和试验方法

3 术语和定义
下列术语和定义适用于本文件。

3.1栀子花鲜品
去除花柱的茜草科栀子属栀子(Gardenia jasminoides Ellis)开放的鲜花。

3.2栀子花干品
以栀子花鲜品为原料,经挑选、去杂、干燥、去花柱等工艺制成的产品。

4 技术要求
4.1 原料要求
栀子花应新鲜,无腐烂、无霉变、无虫蛀。

4.2 感官要求
应符合表 1 的规定。
1.png

4.3 理化指标
应符合表 2 的规定。
1.png

4.4 污染物限量
应符合表 3 的规定。
1.png

4.5 农药最大残留限量
农药最大残留限量应符合 GB 2763 及国家有关规定。

5 其他
食用前应去除花柱。婴幼儿、孕妇、哺乳期妇女及对花粉等有过敏史者不宜食用。

4

主题

4

回帖

46

积分

实习版主

积分
46
 楼主| 发表于 2026-2-7 21:23:54 | 显示全部楼层

栀子苷的检测方法

附 录 A
(规范性)
栀子苷的检测方法

A.1 原理
试样中的栀子苷经甲醇提取,高效液相色谱分离,在波长 238 nm 条件下测定栀子苷含量,外标法定量。

A.2 试剂和材料
A.2.1 试剂

A.2.1.1 水:GB/T 6682 规定的一级水。
A.2.1.2 甲醇:分析纯。
A.2.1.3 乙腈:色谱纯。

A.2.2 标准品
栀子苷(分子式:C17H24O10,CAS号:24512-63-8)纯度≥ 98 %,或经国家认证并授予标准物质证书的标准物质。

A.2.3 标准溶液
A.2.3.1 栀子苷标准储备溶液:称取 10.0 mg(精确至 0.00001 g)栀子苷,用甲醇溶解并定容至 10 mL,摇匀,2 ℃~10 ℃保存备用。
A.2.3.2 栀子苷标准工作溶液:分别移取 0.2 mL、0.5 mL、1.0 mL、2.0 mL、4.0 mL栀子苷标准储备
溶液,置于 25 mL容量瓶中,用甲醇稀释并定容至刻度,制备成 8 μg/mL、20 μg/mL、40 μg/mL、80 μg/mL、160 μg/mL的标准工作溶液,摇匀,临用现配。

A.2.4 材料
A.2.4.1 定性滤纸:直径 12.5 cm,中速。
A.2.4.2 微孔滤膜:孔径 0.22 μm,有机相。
A.2.4.3 样品筛:24 目筛网,孔径为 0.77 mm。
A.2.4.4 注射器:5 mL,一次性使用无菌注射器(带针)。

A.3 仪器和设备
A.3.1 液相色谱仪:配紫外检测器。
A.3.2 分析天平:感量 0.00001 g 和 0.0001 g。
A.3.3 超声清洗机:功率 250 W,频率 50 kHz。
A.3.4 粉碎机。

A.4 分析步骤
A.4.1 试样制备

A.4.1.1 栀子花鲜品:用剪刀将样品剪碎,使其长度为 3 mm~5 mm、宽度为 3 mm~5 mm,混匀,装入洁净容器内,密封备用。
A.4.1.2 栀子花干品:用粉碎机将样品粉碎,使其全部通过样品筛,混匀,装入洁净容器内,密封备用。

A.4.2 提取
称取 1 g(精确至 0.0001 g)试样,置于锥形瓶中,加入 25 mL 甲醇,盖塞,称定重量,超声提取 20 min 后,取出冷却至室温后,称定重量。用甲醇补足减失重量,混匀,甲醇提取液经滤纸过滤至锥形瓶中,混匀。移取 10.0 mL 滤液于 25 mL 容量瓶中,用甲醇定容至刻度,混匀,经微孔滤膜过滤后,备用。

A.4.3 色谱分析条件
A.4.3.1 色谱柱:C18柱(250 mm×4.6 mm,5 μm)或性能相当者。
A.4.3.2 流动相:乙腈-水(15:85),等度洗脱。
A.4.3.3 流速:1.0 mL/min。
A.4.3.4 柱温:30 ℃。
A.4.3.5 检测波长:238 nm。
A.4.3.6 进样量:10 μL。

A.4.4 测定
A.4.4.1 标准曲线的制作
将栀子苷标准工作溶液依次由低质量浓度至高质量浓度注入高效液相色谱仪中,测定相应的峰面积。以标准工作溶液的质量浓度为横坐标,以峰面积为纵坐标,绘制标准曲线。栀子苷标准溶液液相色谱图见附录B.1。
A.4.4.2 试样溶液的测定
将空白和试样溶液分别注入高效液相色谱仪中,得到空白和试样溶液的峰面积,根据标准曲线计算得到试样溶液中栀子苷的质量浓度。
如果试样溶液的峰面积超出标准曲线范围,应适当稀释滤液,重新进行测定。

A.5 分析结果的表述
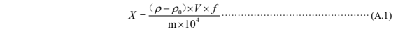
栀子花中栀子苷含量按公式(A.1)计算:
1.png
式中:
X——试样中栀子苷的含量,单位为克每一百克(g/100 g);
ρ——从标准工作曲线得到的试样溶液中栀子苷的质量浓度,单位为微克每毫升(μg/mL);
ρ0——从标准工作曲线得到的空白液中栀子苷的质量浓度,单位为微克每毫升(μg/mL);
m——试样质量,单位为克(g);
V——试样提取液体积,单位为毫升(mL);
f——滤液(提取液)的稀释倍数;
计算结果保留两位有效数字。

A.6 精密度
A.6.1 重复性
相同实验室在重复性条件下获得的两次独立测试结果的绝对差值不得超过算术平均值的 10 %。

A.6.2 再现性
不同实验室间独立测定结果的绝对差值不应超过算术平均值的 10 %。
回复

使用道具 举报

4

主题

4

回帖

46

积分

实习版主

积分
46
 楼主| 发表于 2026-2-7 21:26:35 | 显示全部楼层
附 录 B
(资料性)
栀子苷标准溶液液相色谱图

栀子苷标准溶液液相色谱图见图 B.1。
1.png

回复

使用道具 举报

您需要登录后才可以回帖 登录 | 请用中文用户名

本版积分规则

本站信息仅供参考,不能作为诊断医疗依据,所提供文字图片及视频等信息旨在参考交流,如有转载引用涉及到侵犯知识产权等相关问题,请第一时间联系我们及时处理!

在线客服|关于我们|移动客户端 | 手机版|电子书籍下载|中医启疾光网 ( 鄂ICP备20008850号|公安备案图标鄂公网安备42011102005941号 )

Powered by Discuz! X3.5© 2001-2026 Discuz! Team. zyqjg.com

中医网版权标识 - 弘扬中医文化,传承中华医学

快速回复 返回顶部 返回列表