食品安全国家标准 食品用香精(GB 30616-2020)

2021-9-18 16:07| 发布者: 国医正宗| 查看: 4655| 评论: 0|来自: 国家食品安全风险评估中心

摘要: 本标准代替GB 30616-2014《食品安全国家标准 食品用香精》,适用于食品用香精【由食品用香料(与食品用香料辅料组成的用来起香味作用的浓缩调配混合物(只产生咸味、甜味或酸味的配制品除外,也不包括增味剂)】 ... .. ...


 

附录D

食品用香精辅料 乙酸异丁酸蔗糖酯的质量规格

 

D.1范围

本标准适用于由蔗糖、乙酸酐和异丁酸酐为原料制得的食品用香精辅料乙酸异丁酸蔗糖酯。其化合物系所有可能结合形式的酯类的混合物,其中乙酸酯和异丁酸酯的比约为2:6

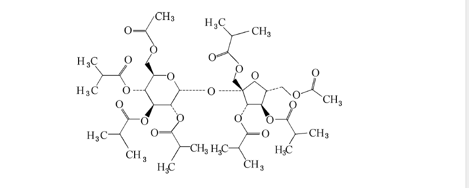
D.2化学名称、分子式、结构式和相对分子质量

D.2.1化学名称

乙酸异丁酸蔗糖酯

D.2.2分子式

C40H62O19

D.2.3结 构式

 

D.2.4相对分子质量

846.9(2016年国际相对原子质量)

D.3技术要求

D.3.1感官要求

感官要求应符合表D.1的规定。

D.1感官要求

项目

要求

检验方法

色泽

无色至淡黄色

将试样置于比色管内,用目测法观察色泽和状态

状态

黏稠液体(40 C以下流动性下降)

D.3.2理化指标

理化指标应符合表D.2的规定。

D.2理化指标

项目

指标

检验方法

皂化值(KOH)/(mg/g)

524-540

附录CC.7

乙酸异丁酸蔗糖酯含量,w/%

98.8-101.9

附录CC.7

酸值(KOH)/(mg/g)

0.2

GB/T 14455.5a

( Pb)/( mg/kg)

1.0

GB 5009.75GB 5009.12

a称样量约为50g



12345

路过

雷人

握手

鲜花

鸡蛋

相关阅读

本站信息仅供参考,不能作为诊断医疗依据,所提供文字图片及视频等信息旨在参考交流,如有转载引用涉及到侵犯知识产权等相关问题,请第一时间联系我们及时处理!

在线客服|关于我们|移动客户端 | 手机版|电子书籍下载|中医启疾光网 ( 鄂ICP备20008850号|公安备案图标鄂公网安备42011102005941号 )

Powered by Discuz! X3.5© 2001-2026 Discuz! Team. zyqjg.com

中医网版权标识 - 弘扬中医文化,传承中华医学

返回顶部